首页
钢琴
吉他
提琴
管乐
萨克斯
古筝古琴
歌曲百科
音乐综合
关于我们
联系我们
免责声明
首页
>
胡琴谱
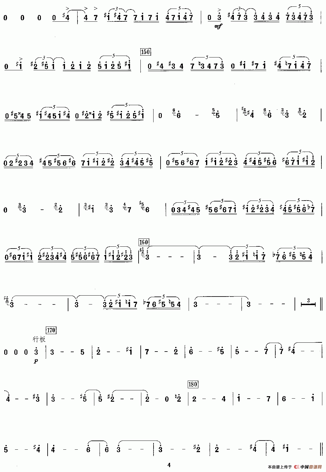
第三二胡协奏曲:1、诗胡琴谱,第三二胡协奏曲:1、诗简谱
Time:2023-03-14 02:13:48
Read:
作者:互联网
版权声明:本站所有文章资源内容,如无特殊说明或标注,均为网络资源。如若本站内容侵犯了原著者的合法权益,可联系本站删除。
上一篇:
第三二胡协奏曲:2、女人胡琴谱,第三二胡协奏曲:2、女人简谱
下一篇:
乡情胡琴谱(中音板胡独奏),乡情简谱
标签:
推荐文章
2023-03-15
风雨无阻钢琴谱,风雨无阻简谱
2023-03-14
雷锋,我们的战友胡琴谱,雷锋,我们的战友简谱
2023-03-14
帕米尔的春天铜管谱(小号+钢琴伴奏),帕米尔的春天简谱
2023-03-14
长笛演奏基础教程练习长笛谱(47—52),长笛演奏基础教程练习简谱
2023-03-14
《洪湖赤卫队》随想曲提琴谱,《洪湖赤卫队》随想曲简谱
2023-03-14
双星情歌吉他谱(虫虫吉他编配版),双星情歌简谱
2023-03-13
钢琴综合教程:第十二课 复习F大调音阶 和弦转位 主三和弦琶音钢琴谱,简谱
2023-03-13
拜年钢琴谱(钢琴独奏曲),拜年简谱
2023-03-13
冬的迷茫钢琴谱,冬的迷茫简谱
2023-03-13
航行电子琴谱(澳大利亚民歌),航行简谱
排行榜
永远爱着你是哪首歌的歌词,永远爱着你是哪首歌的歌词
永远爱着你是哪首歌的歌词,容祖儿永远爱着你含义?你永远都是优秀的,总会有人爱你。永远爱着你男声
2023-08-23
今天这首歌歌词啥意思,今天歌词完整版
2023-08-22
云南最火的十首歌,丽江最火的十首歌
2023-03-14
适合集体合唱的正能量歌曲,团建歌曲简单有气势
2023-03-14
就在远方什么歌曲 女生唱的,求一首老歌的歌词,一个女的唱的,歌词里面有一句:在我的身旁?
2023-03-14
抖音慢慢靠近是什么歌,对方不理你,最好的回应是什么?
2023-03-14
你身在他乡住有人在牵挂是什么歌,母亲刘和刚原唱?
2023-03-14
回旋曲(管乐合奏、二重奏),回旋曲简谱
2023-03-14
革命交响音乐《智取威虎山》:五、迎来春色换人间,革命交响音乐《智取威虎山》:五、迎来春色换人间简谱
2023-03-14
故乡的炊烟提琴谱(男中音+大提琴+钢琴),故乡的炊烟简谱
2023-03-14
对不起,我还爱你吉他谱,对不起,我还爱你简谱
热门标签
洋娃娃和小熊跳舞简谱
月亮代表我的心简谱
你笑起来真好看简谱
卡农简谱
我爱你中国简谱
世上只有妈妈好简谱
雪绒花简谱
新年好简谱
晴天简谱
龙的传人简谱
沧海一声笑简谱
梦中的婚礼简谱
致爱丽丝简谱
踏山河简谱
铃儿响叮当简谱
茉莉花简谱
菊次郎的夏天简谱
梁祝简谱
欢乐颂简谱
萱草花简谱
我要关灯
我要开灯
返回顶部