首页
钢琴
吉他
提琴
管乐
萨克斯
古筝古琴
歌曲百科
音乐综合
关于我们
联系我们
免责声明
首页
>
其他乐器
龙套常用音乐曲牌:1、朝天子,龙套常用音乐曲牌:1、朝天子简谱
Time:2023-03-14 02:24:52
Read:
作者:互联网
版权声明:本站所有文章资源内容,如无特殊说明或标注,均为网络资源。如若本站内容侵犯了原著者的合法权益,可联系本站删除。
上一篇:
龙套常用音乐曲牌:2、万年欢,龙套常用音乐曲牌:2、万年欢简谱
下一篇:
蓝调音乐:Tranes Blues,蓝调音乐:Tranes Blues简谱
标签:
推荐文章
2023-08-28
决定带她回家是什么歌,有一首歌里面跟我回家歌词
2023-08-21
丽江好听的6首手鼓歌曲,手鼓小宝贝歌曲原唱版
2023-06-03
达斡尔情歌简谱,达斡尔情歌歌曲简介
2023-03-14
告白气球为什么是口水歌,告白气球是哪一年的歌
2023-03-14
最搞笑的音乐能笑死人的歌,搞笑歌词(可以笑死人的那种)
2023-03-14
小小的太阳歌词表达什么感情,太阳歌词表达什么感情
2023-03-14
风的季节为什么成为禁歌,风的季节原唱是谁唱的
2023-03-14
原来你只是一个过客简谱,演唱玮一,歌词
2023-03-14
把你的心我的心串一串是什么歌,拿你的心我的心串一串出自哪首歌?
2023-03-14
I can , can You?提琴谱,简谱
排行榜
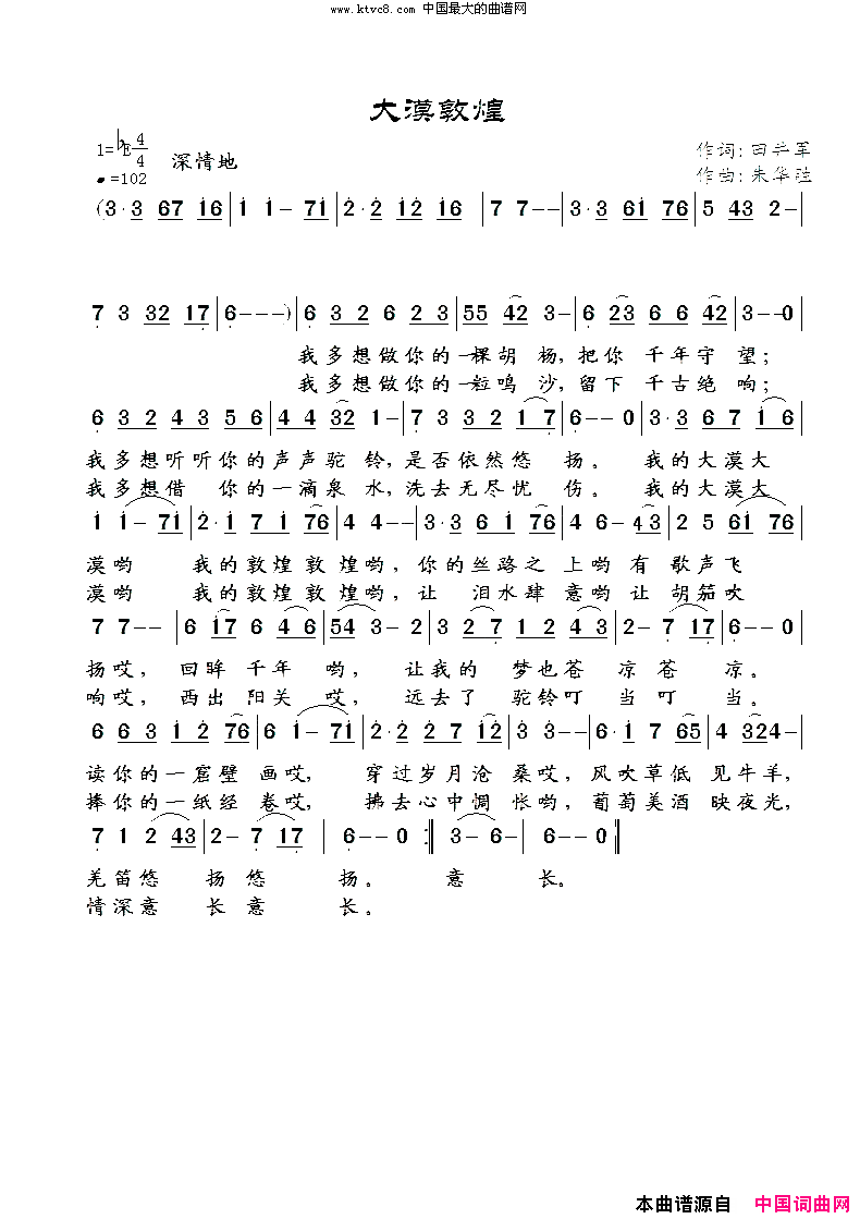
大漠敦煌简谱,演唱真情玲儿,歌词
大漠敦煌歌词大漠敦煌 作词:田井军 作曲:朱华胜 编曲:朱华胜 演唱:真情玲儿 视频:江湖 我多想做你的
2023-08-17
一句话形容过火这首歌,对过火这首歌的感悟
2023-08-16
《我要抱着你》歌曲,沙哑歌我要抱着你
2023-03-15
海上花钢琴谱,海上花简谱
2023-03-15
爱江山更爱美人 钢琴谱,爱江山更爱美人简谱
2023-03-14
半吨兄弟最火的一首歌,半吨兄弟最火的一首歌
2023-03-14
天空之城为什么是禁歌,天空之城的创作背景
2023-03-14
从前初识这世间万般留恋是什么歌,从前初识这世间万般留恋什么意思?
2023-03-14
春(二胡+琵琶+中阮),春简谱
2023-03-14
古筝练习:轮指练习古筝谱/古琴谱(9),古筝练习:轮指练习简谱
2023-03-14
袖手旁观吉他谱,袖手旁观简谱
热门标签
洋娃娃和小熊跳舞简谱
月亮代表我的心简谱
你笑起来真好看简谱
卡农简谱
我爱你中国简谱
世上只有妈妈好简谱
雪绒花简谱
新年好简谱
晴天简谱
龙的传人简谱
沧海一声笑简谱
梦中的婚礼简谱
致爱丽丝简谱
踏山河简谱
铃儿响叮当简谱
茉莉花简谱
菊次郎的夏天简谱
梁祝简谱
欢乐颂简谱
萱草花简谱
我要关灯
我要开灯
返回顶部