红豆简谱,演唱王菲,歌词

Time:2023-05-12 14:41:39 Read: 作者:互联网

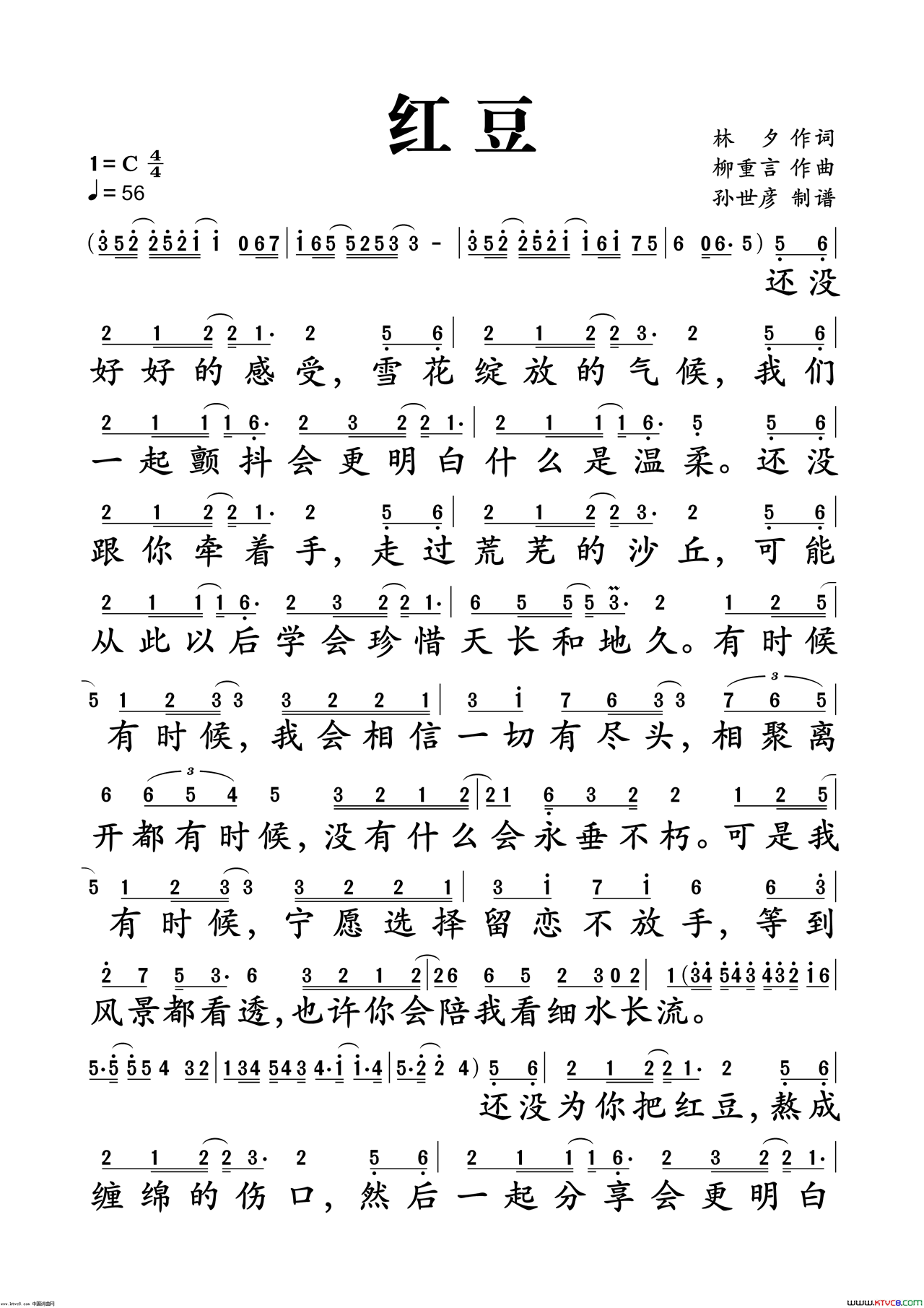
红豆

红豆歌词

红豆
作词 林夕
作曲 柳重言
制谱:孙世彦
还没好好的感受,
雪花绽放的气候,
我们一起颤抖
会更明白什么是温柔。
还没跟你牵着手,
走过荒芜的沙丘,
可能从此以后学会珍惜
天长和地久。
有时候有时候,
我会相信一切有尽头,
相聚离开都有时候,
没有什么会永垂不朽。
可是我有时候,
宁愿选择留恋不放手,
等到风景都看透,
也许你会陪我看细水长流。
还没为你把红豆,
熬成缠绵的伤口,
然后一起分享
会更明白相思的哀愁。
还没好好的感受,
醒着亲吻的温柔,
可能在我左右
你才追求孤独的自由。
有时候有时候,
我会相信一切有尽头,
相聚离开都有时候,
没有什么会永垂不朽。
可是我有时候,
宁愿选择留恋不放手,
等到风景都看透,
也许你会陪我看细水长流。
有时候有时候,
我会相信一切有尽头,
相聚离开都有时候,
没有什么会永垂不朽。
可是我有时候,
宁愿选择留恋不放手,
等到风景都看透,
也许你会陪我看细水长流。

版权声明:本站所有文章资源内容,如无特殊说明或标注,均为网络资源。如若本站内容侵犯了原著者的合法权益,可联系本站删除。

标签:
关于我们
我爱歌谱网是一个专业的歌谱搜索网站,主要有以下栏目:简谱,吉他谱,钢琴谱,电子琴谱,手风琴谱,二胡谱,笛萧谱,萨克斯谱,古筝谱,总谱,其他曲谱。
Copyright ©2019-2023 Comsenz Inc.Powered by © 我爱歌谱网      豫ICP备2021023581号-3