

冬天里的一把火歌词
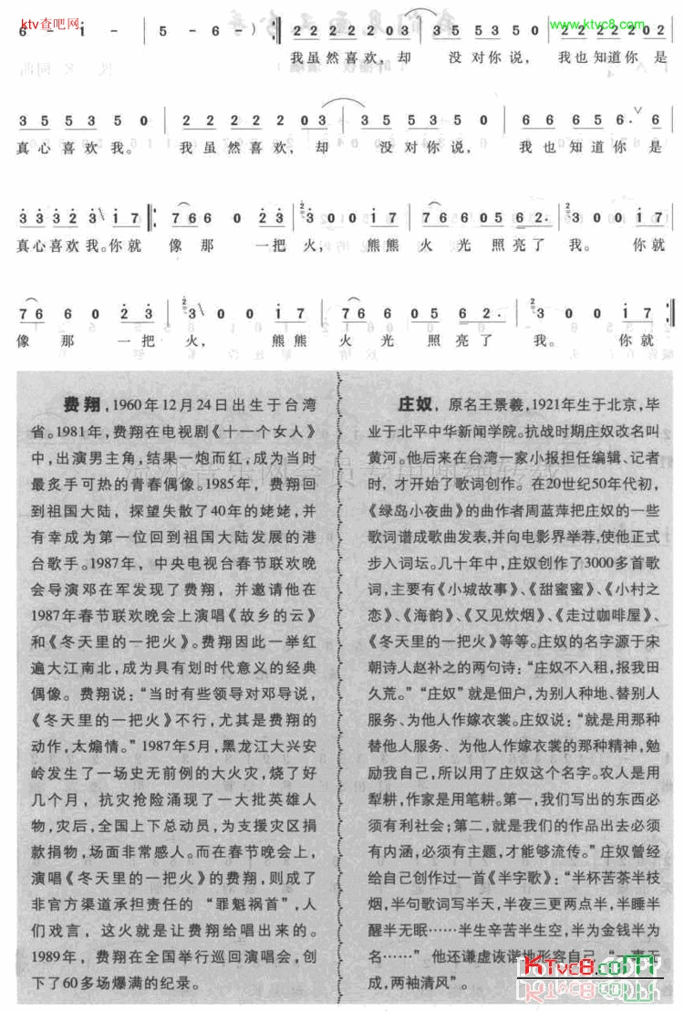
你就象那冬天里的一把火熊熊火焰温暖了我的心窝每次当你悄悄走进我身边火光照亮了我你的大眼睛明亮又闪烁仿佛天上星星最亮的一颗你就象那一把火熊熊火焰温暖了我你就象那一把火熊熊火光照亮了我我虽然欢喜却没对你说我也知道你是真心喜欢我你就象那冬天里的一把火熊熊火焰温暖了我的心窝每次当你悄悄走进我身边火光照亮了我你的大眼睛明亮又闪烁仿佛天上星星最亮的一颗你就象那一把火熊熊火焰温暖了我你就象那一把火熊熊火光照亮了我我虽然欢喜却没对你说我也知道你是真心喜欢我我虽然欢喜却没对你说我也知道你是真心喜欢我你就象那一把火熊熊火焰温暖了我你就象那一把火熊熊火光照亮了我你就象那一把火熊熊火焰温暖了我你就象那一把火熊熊火光照亮了我版权声明:本站所有文章资源内容,如无特殊说明或标注,均为网络资源。如若本站内容侵犯了原著者的合法权益,可联系本站删除。