梦一场简谱,演唱那英,歌词

Time:2023-05-12 14:48:10 Read: 作者:互联网

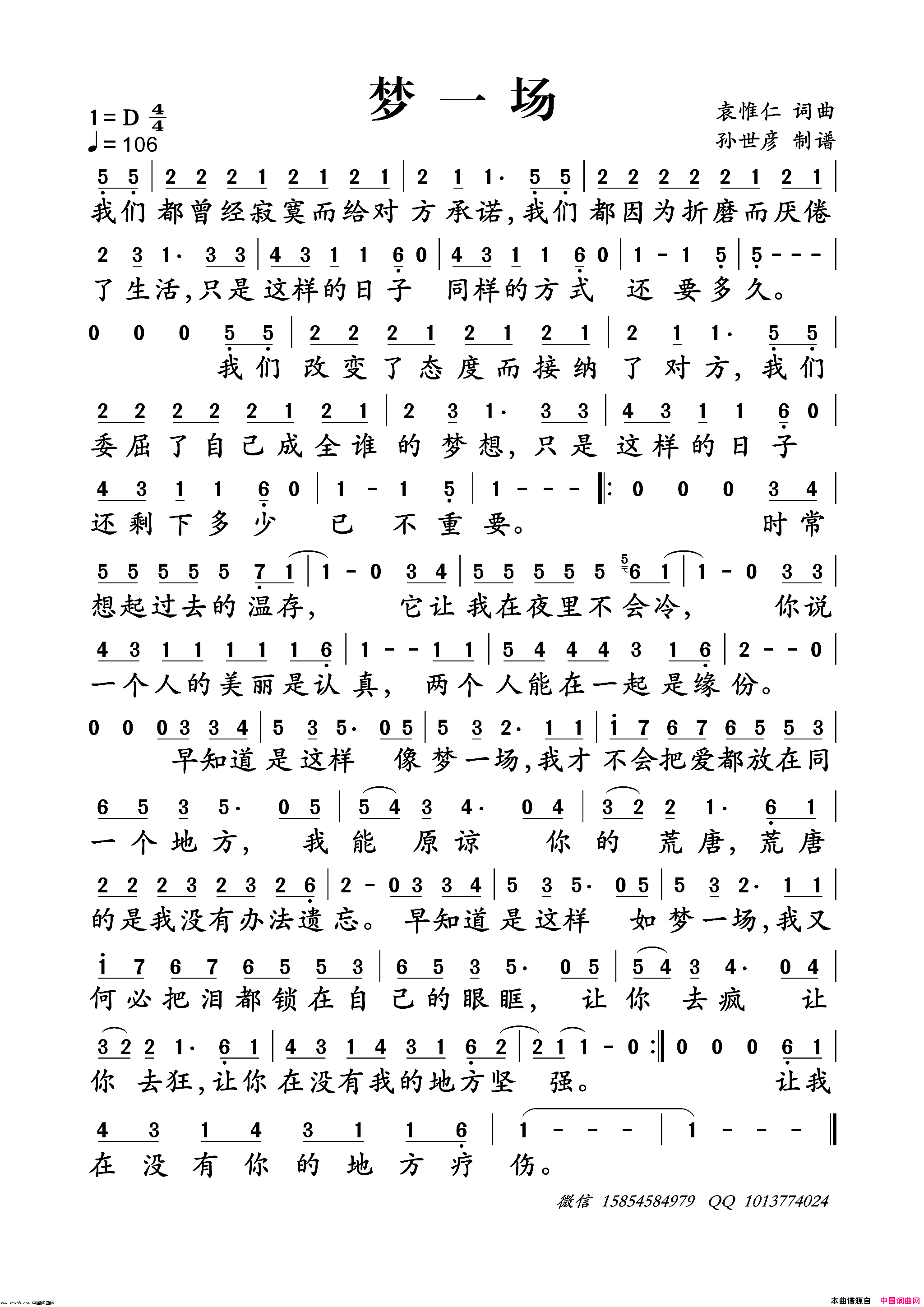
梦一场

梦一场歌词

梦一场 (Live) 那英
词:袁惟仁
曲:袁惟仁
我们都因为寂寞而给对方承诺
我们都因为折磨而厌倦了生活
只是这样的日子
同样的方式
还要多久
我们改变了态度而接纳了对方
我们委屈了自己成全谁的梦想
只是这样的日子
还剩下多少
已不重要
时常想起过去的温存
它让我在夜里不会冷
你说一个人的美丽是认真
两个人能在一起是缘份
早知道是这样
像梦一场
我又何必把爱都放在同一个地方
我能原谅
你的狂妄
狂妄的是我不能自己遗忘
早知道是这样
如梦一场
我又何必把泪都锁在自己的眼眶
让你去疯
让你去狂
让你在没有我的地方坚强
时常想起过去的温存
它让我在夜里不会冷
你说一个人的美丽是认真
两个人能在一起是缘份
早知道是这样
像梦一场
我又何必把爱都放在同一个地方
我能原谅
你的狂妄
狂妄的是我不能自己遗忘
早知道是这样
如梦一场
我又何必把泪都锁在自己的眼眶
让你去疯
让你去狂
让你在没有我的地方坚强
让我在没有你的地方疗伤
歌词

版权声明:本站所有文章资源内容,如无特殊说明或标注,均为网络资源。如若本站内容侵犯了原著者的合法权益,可联系本站删除。

标签:
关于我们
我爱歌谱网是一个专业的歌谱搜索网站,主要有以下栏目:简谱,吉他谱,钢琴谱,电子琴谱,手风琴谱,二胡谱,笛萧谱,萨克斯谱,古筝谱,总谱,其他曲谱。
Copyright ©2019-2023 Comsenz Inc.Powered by © 我爱歌谱网      豫ICP备2021023581号-3