我原以为简谱,演唱徐誉滕,歌词

Time:2023-03-14 03:45:26 Read: 作者:互联网

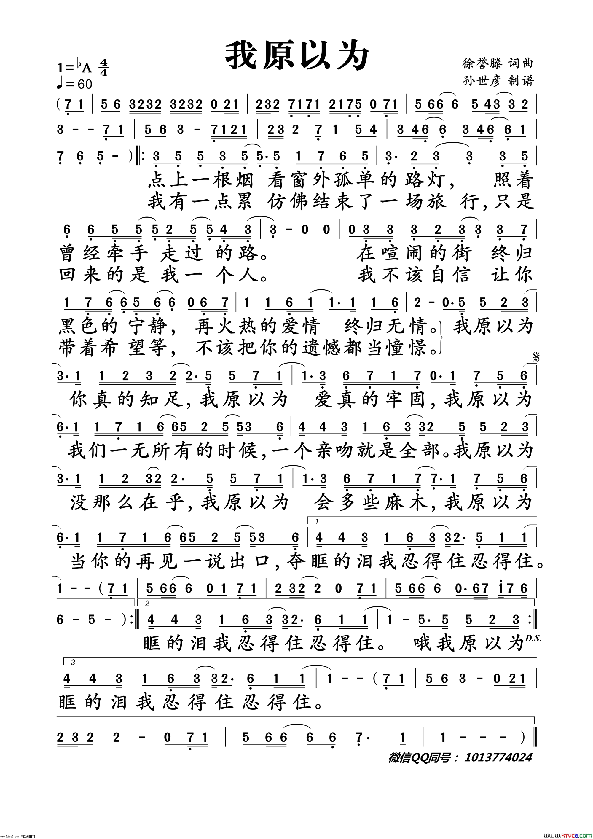
我原以为

我原以为歌词

徐誉滕 我原以为
词曲:徐誉滕
演唱:徐誉滕
制谱:孙世彦
点上一根烟看窗外孤单的路灯,
照着曾经牵手走过的路。
在喧闹的街终归黑色的宁静,
再火热的爱情终归无情。
我原以为你真的知足,
我原以为爱真的牢固,
我原以为我们一无所有的时候,
一个亲吻就是全部。
我原以为没那么在乎,
我原以为会多些麻木,
我原以为当你的再见一说出口,
夺眶的泪我忍得住忍得住。
我有一点累仿佛结束了一场旅行,
只是回来的是我一个人。
我不该自信让你带着希望等,
不该把你的遗憾都当憧憬。

版权声明:本站所有文章资源内容,如无特殊说明或标注,均为网络资源。如若本站内容侵犯了原著者的合法权益,可联系本站删除。

标签:
关于我们
我爱歌谱网是一个专业的歌谱搜索网站,主要有以下栏目:简谱,吉他谱,钢琴谱,电子琴谱,手风琴谱,二胡谱,笛萧谱,萨克斯谱,古筝谱,总谱,其他曲谱。
Copyright ©2019-2023 Comsenz Inc.Powered by © 我爱歌谱网      豫ICP备2021023581号-3