再见简谱,演唱张震岳,歌词

Time:2023-05-12 14:59:42 Read: 作者:互联网

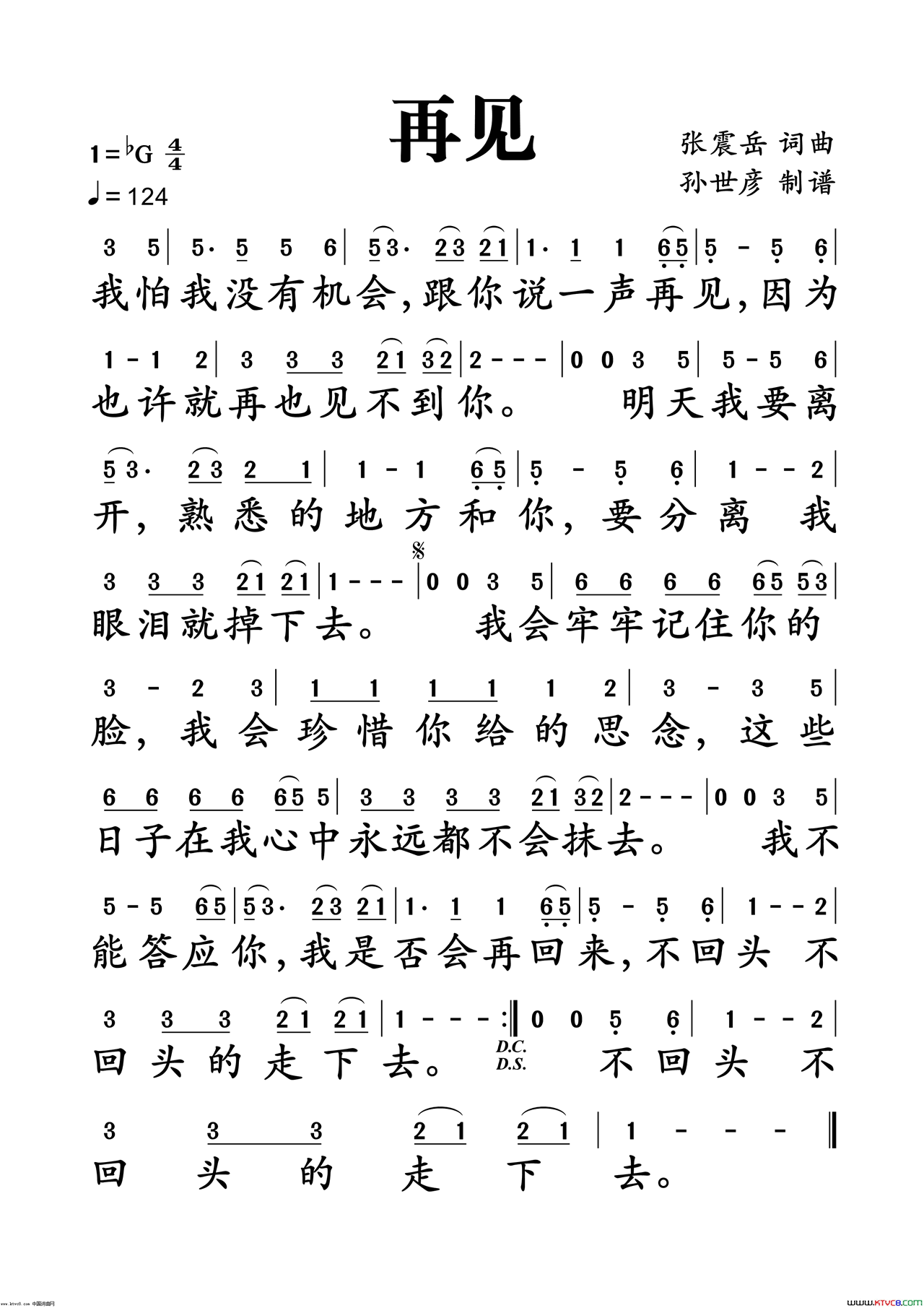
再见

再见歌词

再见
词曲:张震岳
演唱:张震岳
制谱:孙世彦
我怕我没有机会,
跟你说一声再见,
因为也许就再也见不到你。
明天我要离开,
熟悉的地方和你,
要分离
我眼泪就掉下去。
我会牢牢记住你的脸,
我会珍惜你给的思念,
这些日子在我心中永远都不会抹去。
我不能答应你,
我是否会再回来,
不回头
不回头的走下去。
我怕我没有机会,
跟你说一声再见,
因为也许就再也见不到你。
明天我要离开,
熟悉的地方和你,
要分离
我眼泪就掉下去。
我会牢牢记住你的脸,
我会珍惜你给的思念,
这些日子在我心中永远都不会抹去。
我不能答应你,
我是否会再回来,
不回头
不回头的走下去。
我会牢牢记住你的脸,
我会珍惜你给的思念,
这些日子在我心中永远都不会抹去。
我不能答应你,
我是否会再回来,
不回头
不回头的走下去。
不回头
不回头的走下去。

版权声明:本站所有文章资源内容,如无特殊说明或标注,均为网络资源。如若本站内容侵犯了原著者的合法权益,可联系本站删除。

标签:
关于我们
我爱歌谱网是一个专业的歌谱搜索网站,主要有以下栏目:简谱,吉他谱,钢琴谱,电子琴谱,手风琴谱,二胡谱,笛萧谱,萨克斯谱,古筝谱,总谱,其他曲谱。
Copyright ©2019-2023 Comsenz Inc.Powered by © 我爱歌谱网      豫ICP备2021023581号-3