徐誉滕等一分钟简谱,演唱徐誉滕,歌词

Time:2023-03-14 12:29:25 Read: 作者:互联网

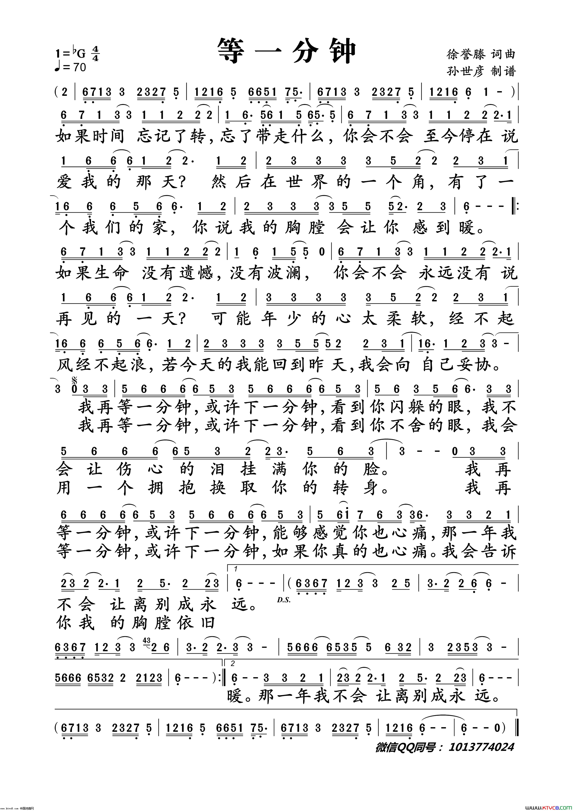
徐誉滕等一分钟

徐誉滕等一分钟歌词

徐誉滕 等一分钟
词曲:徐誉滕
编曲:徐誉滕
制谱:孙世彦
演唱:徐誉滕
如果时间
忘记了转,
忘了带走什么,
你会不会
至今停在说爱我的那天
然后在世界的一个角,
有了一个我们的家,
你说我的胸膛会让你感到暖。
如果生命
没有遗憾,
没有波澜,
你会不会
永远没有说再见的一天
可能年少的心太柔软,
经不起风经不起浪,
若今天的我能回到昨天,
我会向自己妥协。
我再等一分钟,
或许下一分钟,
看到你闪躲的眼,
我不会让伤心的泪挂满你的脸。
我再等一分钟,
或许下一分钟,
能够感觉你也心痛,
那一年我不会让离别成永远。
如果生命
没有遗憾
没有波澜
你会不会
永远没有说再见的一天
可能年少的心太柔软
经不起风经不起浪
若今天的我能回到昨天
我会向自己妥协
我再等一分钟
或许下一分钟
看到你闪躲的眼
我不会让伤心的泪挂满你的脸
我再等一分钟
或许下一分钟
能够感觉你也心痛
那一年我不会让离别成永远
我再等一分钟,
或许下一分钟,
看到你不舍的眼,
我会用一个拥抱换取你的转身。
我再等一分钟,
或许下一分钟,
如果你真的也心痛。
我会告诉你我的胸膛依旧暖。
那一年我不会让离别成永远。

版权声明:本站所有文章资源内容,如无特殊说明或标注,均为网络资源。如若本站内容侵犯了原著者的合法权益,可联系本站删除。

标签:
关于我们
我爱歌谱网是一个专业的歌谱搜索网站,主要有以下栏目:简谱,吉他谱,钢琴谱,电子琴谱,手风琴谱,二胡谱,笛萧谱,萨克斯谱,古筝谱,总谱,其他曲谱。
Copyright ©2019-2023 Comsenz Inc.Powered by © 我爱歌谱网      豫ICP备2021023581号-3