只要平凡简谱,演唱张杰,歌词

Time:2023-05-12 14:45:24 Read: 作者:互联网

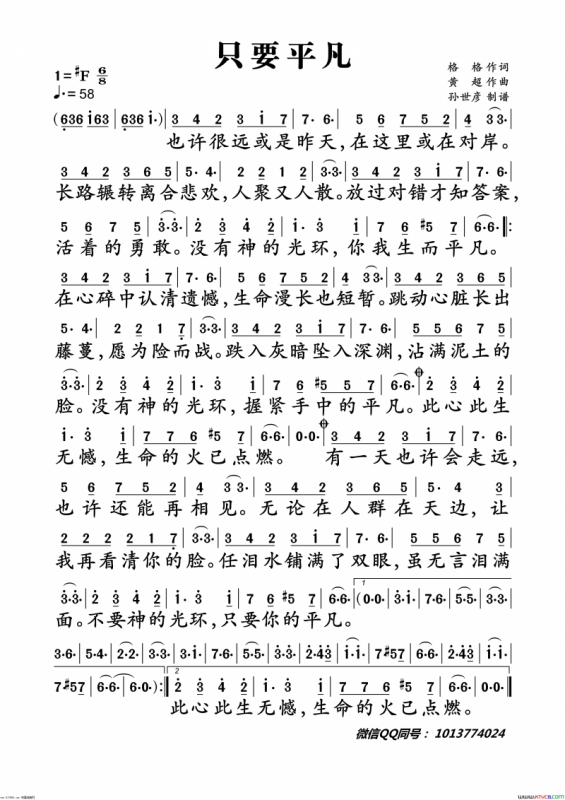
只要平凡

只要平凡歌词

抖音
张杰 张碧晨 只要平凡
只要平凡 (电影《我不是药神》主题曲)
作词:格格
作曲:黄超
制谱:孙世彦
演唱:张杰 张碧晨
也许很远或是昨天,
在这里或在对岸。
长路辗转离合悲欢,
人聚又人散。
放过对错才知答案,
活着的勇敢。
没有神的光环,
你我生而平凡。
在心碎中认清遗憾,
生命漫长也短暂。
跳动心脏长出藤蔓,
愿为险而战。
跌入灰暗坠入深渊,
沾满泥土的脸。
没有神的光环,
握紧手中的平凡。
此心此生无憾,
生命的火已点燃。
有一天也许会走远,
也许还能再相见。
无论在人群在天边,
让我再看清你的脸。
任泪水铺满了双眼,
虽无言泪满面。
不要神的光环,
只要你的平凡。
在心碎中认清遗憾,
生命漫长也短暂。
跳动心脏长出藤蔓,
愿为险而战。
跌入灰暗坠入深渊,
沾满泥土的脸。
没有神的光环,
握紧手中的平凡。
有一天也许会走远,
也许还能再相见。
无论在人群在天边,
让我再看清你的脸。
任泪水铺满了双眼,
虽无言泪满面。
不要神的光环,
只要你的平凡。
此心此生无憾,
生命的火已点燃。

版权声明:本站所有文章资源内容,如无特殊说明或标注,均为网络资源。如若本站内容侵犯了原著者的合法权益,可联系本站删除。

标签:
关于我们
我爱歌谱网是一个专业的歌谱搜索网站,主要有以下栏目:简谱,吉他谱,钢琴谱,电子琴谱,手风琴谱,二胡谱,笛萧谱,萨克斯谱,古筝谱,总谱,其他曲谱。
Copyright ©2019-2023 Comsenz Inc.Powered by © 我爱歌谱网      豫ICP备2021023581号-3