首页
钢琴
吉他
提琴
管乐
萨克斯
古筝古琴
歌曲百科
音乐综合
关于我们
联系我们
免责声明
首页
>
管乐
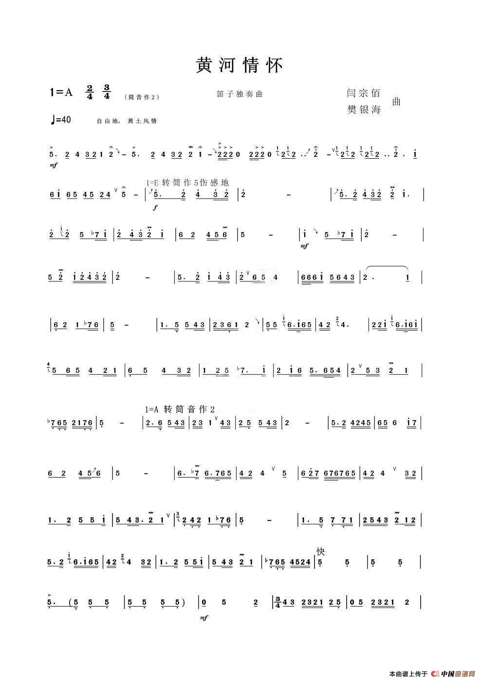
黄河情怀笛箫谱(笛子独奏曲),黄河情怀简谱
Time:2023-03-14 01:42:35
Read:
作者:互联网
版权声明:本站所有文章资源内容,如无特殊说明或标注,均为网络资源。如若本站内容侵犯了原著者的合法权益,可联系本站删除。
上一篇:
百鸟引笛箫谱,百鸟引简谱
下一篇:
看秧歌笛箫谱(笛子独奏曲),看秧歌简谱
标签:
推荐文章
2023-09-02
哪个平台可以写歌词赚钱,卖歌词去哪个平台
2023-03-14
直播间唱歌算侵权吗,B站直播唱歌有要版权吗
2023-03-14
假如歌曲表达什么意思,ifnaby这个歌名是什么意思是什么意思
2023-03-14
我曾用心爱着你歌词,什么什么曾爱过你是什么歌
2023-03-14
我穿过黑暗的夜是什么歌,你陪我去哪里歌词?
2023-03-14
红莲华(简单完整版)简谱,演唱LiSA,歌词
2023-03-14
柳青娘(一)(二人台经典山曲主旋律谱)简谱
2023-03-14
江南丝竹乐曲:文将军(主旋律谱),江南丝竹乐曲:文将军简谱
2023-03-14
卡秋莎手风琴谱(二级练习曲),卡秋莎简谱
2023-03-14
回旋曲(凯里尼作曲版)(大提琴谱)提琴谱,简谱
排行榜
十首绝美戏腔古风歌曲,网上最火的十首古风歌曲
最火十大古风歌曲最火十大古风歌曲如下:《牵丝戏》、《赤伶》、《新贵妃醉酒》、《清明上河图》
2023-08-24
你伤害了我还一笑而过的歌词,你爱的太多我爱的懦弱什么歌
2023-05-26
回转像小孩简谱,回转像小孩歌曲简介
2023-03-15
不可不弹的世界钢琴名曲:奏鸣曲(C大调)钢琴谱,简谱
2023-03-14
花心这首歌表达了什么,周华健的花心这首歌是那部电视剧
2023-03-14
别等失去以后再挽留是什么歌,飞天这首歌曲是什么意思?
2023-03-14
只看牛郎织女是什么歌,love love发行时间?
2023-03-14
刷刷刷发发发什么歌曲,习惯了无聊时刷个抖音的说说?
2023-03-13
40首车尔尼Op.299钢琴快速练习曲(NO.20)钢琴谱,简谱
2023-03-13
Phantasien Am Clavier Op.36(幻想曲集·第五首)钢琴谱,简谱
2023-03-13
柴可夫斯基18首钢琴小品Op.72(3.Tendres reproches)钢琴谱,简谱
热门标签
洋娃娃和小熊跳舞简谱
月亮代表我的心简谱
你笑起来真好看简谱
卡农简谱
我爱你中国简谱
世上只有妈妈好简谱
雪绒花简谱
新年好简谱
晴天简谱
龙的传人简谱
沧海一声笑简谱
梦中的婚礼简谱
致爱丽丝简谱
踏山河简谱
铃儿响叮当简谱
茉莉花简谱
菊次郎的夏天简谱
梁祝简谱
欢乐颂简谱
萱草花简谱
我要关灯
我要开灯
返回顶部